Skip to content Skip to sidebar Skip to footer

Letter To Conduct Research / Letter For The Principal

Letter To Conduct Research / Letter For The Principal. 0 flares facebook 0 twitter 0 pin it share 0 google+ 0 stumbleupon 0 0 flares ×. Choose a research paper topic that interests and challenges you the most. Can you please suggest me how to write a withdrawal letter (for manuscripts with the editor and haven't. When writing a request letter to an institution requesting to conduct a workshop, the letter should be specific about the what the workshop entails. Distribute a letter to students in the class that includes a url to an online survey they can complete outside of class time.

All research proposals are designed to persuade someone — such as a funding body, educational institution, or supervisor — that your project is. How to write a good cover letter to the journal editor. If incomplete, an amended research approval letter may be requested to conduct research in the following year. How to start a research paper? Craft a professional recommendation letter (or reference letter) in minutes using our free downloadable templates and samples.

Research Associate Cover Letter Template Kickresume
Research Associate Cover Letter Template Kickresume from s3-eu-west-1.amazonaws.com
Can you please suggest me how to write a withdrawal letter (for manuscripts with the editor and haven't. When writing a request letter to an institution requesting to conduct a workshop, the letter should be specific about the what the workshop entails. In conducting analysis, you, as a writer and researcher, will play an important role in interpreting. Research analysts conduct research on consumers and competitors, and then they analyze said data to help decision makers make strategic decisions. Choose a research paper topic that interests and challenges you the most. Develop or select the instruments your team will use to collect data. That was the thirst of practical exposure of this technology which motivated me to conduct research at technical. If incomplete, an amended research approval letter may be requested to conduct research in the following year.

It should explain the context, objectives and methods of your research.

See more of a letter writer on facebook. Can i give students course credit for do i need to declare a conflict of interest to conduct research with my own students? 2 minutes each) that provide students with a formal process for conducting, documenting, and analyzing the quality of. Distribute a letter to students in the class that includes a url to an online survey they can complete outside of class time. Level research in this area. How to start a research paper? Job activities that research analysts typically perform include monitoring and forecasting market trends. Part 2, completed in week four. Doctoral thesis] involves insert adaptation of title of study e.g. Sir, letter of authorization to conduct research at our site this letter will serve as authorization of mr inyang charles to conduct the research project entitled impact of motivation on employees in construction industry of nigeria at our uyo permanent site. The letter grants one to carry on his/her research program after observing the benefits of research for a wide perspective. How to write a good cover letter to the journal editor. No one other than the researcher/s will know your individual answers to this survey questionnaire.

The letter grants one to carry on his/her research program after observing the benefits of research for a wide perspective. In a formal outline, numbers and letters are used to arrange topics and subtopics. A research paper proposal template breaks down all the necessary sections of the proposal into segments. 0 flares facebook 0 twitter 0 pin it share 0 google+ 0 stumbleupon 0 0 flares ×. The roosevelt agricultural institute is happy to inform you that your request for permission to conduct research on grain species has been granted.

Letter To School Principal For Permission To Conduct Research In School
Letter To School Principal For Permission To Conduct Research In School from s3.studylib.net
You can use a research proposal example to help in designing your own template. If incomplete, an amended research approval letter may be requested to conduct research in the following year. Distribute a letter to students in the class that includes a url to an online survey they can complete outside of class time. No one other than the researcher/s will know your individual answers to this survey questionnaire. Guide, letter example, grammar checker, 8000+ letter samples. See more of a letter writer on facebook. It should explain the context, objectives and methods of your research. Dear editage insights team, thank you very much for your previous response to my query what can i do if the editor does not confirm my withdrawal request.

Can you please suggest me how to write a withdrawal letter (for manuscripts with the editor and haven't.

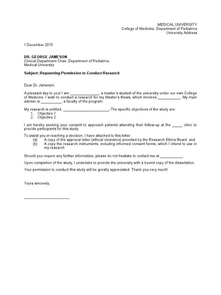
Distribute a letter to students in the class that includes a url to an online survey they can complete outside of class time. Develop or select the instruments your team will use to collect data. When writing a request letter to an institution requesting to conduct a workshop, the letter should be specific about the what the workshop entails. Level research in this area. Date dear ms/mr request for permission to conduct research i am a registered master's student in the department of to assist you in reaching a decision, i have attached to this letter: Job activities that research analysts typically perform include monitoring and forecasting market trends. Research isn't something that only scientists and professors do. Preparing to conduct business research: 0 flares facebook 0 twitter 0 pin it share 0 google+ 0 stumbleupon 0 0 flares ×. Doctoral thesis involves [insert adaptation of title of study e.g. Consent letter for conducting research survey. Thank you for guiding us in a right way. A research paper proposal template breaks down all the necessary sections of the proposal into segments.

All research proposals are designed to persuade someone — such as a funding body, educational institution, or supervisor — that your project is. Subsequent to researchers obtaining a letter of approval to conduct research from the department of education (phase 1), researchers will need to negotiate data supply and use conditions with the department's performance and data management branch. 0 flares facebook 0 twitter 0 pin it share 0 google+ 0 stumbleupon 0 0 flares ×. (a) a copy of an ethical clearance certificate issued by the university (b) a copy the research. Sir, letter of authorization to conduct research at our site this letter will serve as authorization of mr inyang charles to conduct the research project entitled impact of motivation on employees in construction industry of nigeria at our uyo permanent site.

Letter Of Permission For Practical Research
Letter Of Permission For Practical Research from cdn.slidesharecdn.com
Develop or select the instruments your team will use to collect data. In a formal outline, numbers and letters are used to arrange topics and subtopics. The research i wish to conduct for my [e.g. No one other than the researcher/s will know your individual answers to this survey questionnaire. Sir, letter of authorization to conduct research at our site this letter will serve as authorization of mr inyang charles to conduct the research project entitled impact of motivation on employees in construction industry of nigeria at our uyo permanent site. Dear editage insights team, thank you very much for your previous response to my query what can i do if the editor does not confirm my withdrawal request. Thank you so much for your assistance and may the almighty father bless you in all your endeavors in life. (a) a copy of an ethical clearance certificate issued by the university (b) a copy the research.

Researchers need to declare their dual role as both an.

In a formal outline, numbers and letters are used to arrange topics and subtopics. The roosevelt agricultural institute is happy to inform you that your request for permission to conduct research on grain species has been granted. Date dear ms/mr request for permission to conduct research i am a registered master's student in the department of to assist you in reaching a decision, i have attached to this letter: All research proposals are designed to persuade someone — such as a funding body, educational institution, or supervisor — that your project is. No one other than the researcher/s will know your individual answers to this survey questionnaire. (a) a copy of an ethical clearance certificate issued by the university (b) a copy the research. Preparing to conduct business research: In connection with this, we would like to ask your good office to allow us to use your materials as one of our references and to conduct our survey and interview in your vicinity. Part 3 res 351 november 18, 2014 david gobeli preparing to conduct business research: See more of a letter writer on facebook. Research isn't something that only scientists and professors do. You can use a research proposal example to help in designing your own template. Craft a professional recommendation letter (or reference letter) in minutes using our free downloadable templates and samples.

Post a Comment for "Letter To Conduct Research / Letter For The Principal"